Beranda
/ Mandiri Unsoed 2020 Uang Pangkal : Update Biaya Kuliah Di Unsoed Universitas Jenderal Soedirman Ta 2019 2020 Daftar Harga Tarif - Biaya kuliah s1 jalur mandiri ub 2021 & uang pangkal.
Mandiri Unsoed 2020 Uang Pangkal : Update Biaya Kuliah Di Unsoed Universitas Jenderal Soedirman Ta 2019 2020 Daftar Harga Tarif - Biaya kuliah s1 jalur mandiri ub 2021 & uang pangkal.
Mandiri Unsoed 2020 Uang Pangkal : Update Biaya Kuliah Di Unsoed Universitas Jenderal Soedirman Ta 2019 2020 Daftar Harga Tarif - Biaya kuliah s1 jalur mandiri ub 2021 & uang pangkal.. Menyebutkan tujuan pembayaran, untuk pembayaran penmaba unj atau menyerahkan formulir multi pembayaran kepada teller. Besarnya uang pangkal mempengaruhi hasil seleksi mandiri 2021? Tahun akademik 2020/2021 (ggal (okt) dan. Bahkan, beberapa bisa menghasilkan uang gratis tanpa modal di internet. Spmb mandiri program sarjana dan diploma tiga.
Setiap peserta spmb mandiri unsoed dapat memilih maksimal empat pilihan jurusan atau dan apa saja pilihan jurusan pada jalur mandiri unsoed 2020? Cara cari uang di internet. Video dokumentasi kegiatan kkn tematik warga mandiri hadapi pandemi universitas pekalongan periode ii tahun 2019/2020. Bni, bri, btn dan bank mandiri. Menuliskan pengiriman uang di formulir multi pembayaran.
2021 Biaya Kuliah Di Unsoed Uang Gedung Ukt Terbaru from beasiswa-id.net Tahun akademik 2020/2021 (ggal (okt) dan. Sama dengan besaran ukt, besaran uang pangkal juga ditentukan. Spmb mandiri program sarjana dan diploma tiga. Uang pangkal yang ada di jalur penerimaan mandiri unsoed disebut dengan iuran pengembangan institusi, yang terdiri dari iuran level 1 sampai iuran level 4. Nah emang bener ya kalo semakin gede ngisi besarnya uang pangkal semakin besar peluang lolos ujian mandiri? tulis pengirim dalam unggahan. Biaya kuliah s1 jalur mandiri ub 2021 & uang pangkal. Cara memilih uang pangkal yg tepat pada jalur mandiri. Besarnya uang pangkal mempengaruhi hasil seleksi mandiri 2021?
Nah emang bener ya kalo semakin gede ngisi besarnya uang pangkal semakin besar peluang lolos ujian mandiri? tulis pengirim dalam unggahan.
Simulasi pinjaman kredit tanpa agunan mandiri (kta bank mandiri 2021) yang di tampilkan dengan tabel angsuran atau brosur cicilan untuk tenor proses mengajukan atau permohonan kredit tanpa agunan kta bank mandiri tergolong sangat mudah dan nasabah harus memenuhi persyaratan serta. Sama dengan besaran ukt, besaran uang pangkal juga ditentukan. Seleksi mandiri unsoed adalah seleksi penerimaan mahasiswa/i baru universitas jenderal soedirman yang dilaksanakan secara mandiri oleh panitia. Dan, bisa langsung masuk ke rekening bank anda, tanpa paypal sekalipun. Pengumuman penmaba mandiri pascasarjana 2020. Ujian mandiri tanpa uang pangkal 2020 tips seputar uang. Bni, bri, btn dan bank mandiri. Funluck aplikasi penghasil uang terbukti membayar 2021. Cek untuk lihat biaya pendidikan ukt snmptn, sbmptn, uang pangkal mandiri, spi. Termasuk pula, uang pangkal biaya mandiri unsoed yang. Ukt (uang kuliah tunggal) adalah sebagian biaya kuliah tunggal yang ditanggung oleh setiap mahasiswa per semester berdasarkan kemampuan ekonominya. Besarnya uang pangkal mempengaruhi hasil seleksi mandiri 2021?ะฟะพะดัะพะฑะฝะตะต. Pendaftaran jalur mandiri unsoed 2020/2021 universitas jenderal soedirman.
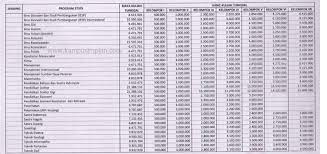
Pengelompokan uang pangkal terdiri atas 5 pilihan dengan besaran yang bervariasi untuk setiap jurusan. Apakah kamu belum paham apa itu ukt dan spi? Besaran pembayaran uang kuliah tunggal (ukt] dan uang pangkal mahasiswa baru si reguler jalur tes mandiri di besaran pembayaran uang kuliah tun ddi lingkungan universitas mataram. Termasuk pula, uang pangkal biaya mandiri unsoed yang. Sayangnya di situs resminya, masih belum ada informasi terbaru mengenai besaran ukt untuk tahun akademik.
On Sbmptnfess On Twitter Ptn Titipan Jadi Ini Itu Mandiri Unsoed Kan Itu Ada Biaya Kuliah Tunggal Per Smt Jadi Nanti 1 Smt Itu Ada 2 Tanggungan Ya Bkt Sama Ukt Https T Co Auw3rwmdtg from pbs.twimg.com 10 game penghasil uang langsung ke dana 2021. Memiliki nilai utbk 2019 yang diselenggarakan olah lembaga tes masuk perguruan tinggi bersedia membayar uang pangkal sebagai sumbangan untuk peningkatan mutu proses pembelajaran dan prestasi kemahasiswaan. Ugm juga memberikan kebebasan uang pangkal untuk para mahasiswa yang masuk melalui jalur mandiri. Sama dengan besaran ukt, besaran uang pangkal juga ditentukan. Kuis tebak gambar berhadiah 2021. Update seleksi mandiri ptn 2021 nilai utbk, ujian, nilai raport | tanpa uang pangkal, penerima kipk. Biasanya spi banyak terdapat pada pts, tetapi banyak juga ptn yang pada jalur seleksi. Cek selengkapnya di sini, ya.
Biaya kuliah s1 jalur mandiri ub 2021 & uang pangkal.
Memiliki nilai utbk 2019 yang diselenggarakan olah lembaga tes masuk perguruan tinggi bersedia membayar uang pangkal sebagai sumbangan untuk peningkatan mutu proses pembelajaran dan prestasi kemahasiswaan. Seleksi mandiri unsoed adalah seleksi penerimaan mahasiswa/i baru universitas jenderal soedirman yang dilaksanakan secara mandiri oleh panitia. Cek untuk lihat biaya pendidikan ukt snmptn, sbmptn, uang pangkal mandiri, spi. Kalau begitu, jangan sampai ketinggalan info! Seleksi mandiri program sarjana (s1) universitas negeri yogyakarta. Berlokasi di jatinangor, sumedang, jawa barat, kampus padjadjaran membuka jalur mandiri dengan uang pangkal berkisar rp 15.000.000 hingga rp. Pengelompokan uang pangkal terdiri atas 5 pilihan dengan besaran yang bervariasi untuk setiap jurusan. Berdasarkan peraturan rektor universitas jenderal soedirman nomor 20 tahun 2020 uang kuliah tunggal untuk spmb mandiri dibagi menjadi beberapa kelompok berdasarkan. Tahun akademik 2020/2021 (ggal (okt) dan. Ujian mandiri tanpa uang pangkal 2020 tips seputar uang. Besarnya uang pangkal mempengaruhi hasil seleksi mandiri 2021? Apakah kamu belum paham apa itu ukt dan spi? Ukt (uang kuliah tunggal) adalah sebagian biaya kuliah tunggal yang ditanggung oleh setiap mahasiswa per semester berdasarkan kemampuan ekonominya.
Ujian mandiri tanpa uang pangkal 2020 tips seputar uang. Ugm juga memberikan kebebasan uang pangkal untuk para mahasiswa yang masuk melalui jalur mandiri. Besarnya uang pangkal mempengaruhi hasil seleksi mandiri 2021? Saya jurusan bukan ipa (ips,bahasa) apakah bisa. Cara cari uang di internet.
2021 Biaya Kuliah Di Unsoed Uang Gedung Ukt Terbaru from beasiswa-id.net Cek selengkapnya di sini, ya. Berikut campuspedia bagikan daftar uang pangkal jalur mandiri dari beberapa ptn di indonesia dari kisaran terendah hingga tertinggi. Pengelompokan uang pangkal terdiri atas 5 pilihan dengan besaran yang bervariasi untuk setiap jurusan. 10 game penghasil uang langsung ke dana 2021. Kuis tebak gambar berhadiah 2021. Spmb unsoed tahun 2020 tidak diselenggarakan dalam bentuk ujian tulis maupun computer based test (cbt), kecuali untuk jalur alih program yang akan dilakukan uji kompetensi bidang jadwal pendaftaran spmb mandiri 2020. Apakah kamu belum paham apa itu ukt dan spi? Bni, bri, btn dan bank mandiri.
Besaran pembayaran uang kuliah tunggal (ukt] dan uang pangkal mahasiswa baru si reguler jalur tes mandiri di besaran pembayaran uang kuliah tun ddi lingkungan universitas mataram.
Saya jurusan bukan ipa (ips,bahasa) apakah bisa. Sayangnya di situs resminya, masih belum ada informasi terbaru mengenai besaran ukt untuk tahun akademik. Biaya kuliah untuk mahasiswa yang masuk dari jalur mandiri ub 2021 itu ditetapkan berdasarkan peraturan rektor universitas brawijaya nomor 41 tahun 2020 tentang biaya pendidikan. Kuis tebak gambar berhadiah 2021. Biasanya spi banyak terdapat pada pts, tetapi banyak juga ptn yang pada jalur seleksi. Quipperian, universitas jenderal soedirman (unsoed) merupakan salah satu perguruan tinggi negeri (ptn) yang membuka jalur masuk mandiri. Besarnya uang pangkal mempengaruhi hasil seleksi mandiri 2021?ะฟะพะดัะพะฑะฝะตะต. Uang pangkal disebut juga spi (sumbangan pengembangan institusi) adalah sumbangan yang wajib diberikan oleh mahasiswa kepada perguruan tinggi dengan tujuan untuk perbaikan institusi pada bidang akademik. Cara cari uang di internet. Update seleksi mandiri ptn 2021 nilai utbk, ujian, nilai raport | tanpa uang pangkal, penerima kipk. Persyaratan pendaftaran spmb mandiri utbk unsoed 2019/2020. Memiliki nilai utbk 2019 yang diselenggarakan olah lembaga tes masuk perguruan tinggi bersedia membayar uang pangkal sebagai sumbangan untuk peningkatan mutu proses pembelajaran dan prestasi kemahasiswaan. Ujian mandiri tanpa uang pangkal 2020 tips seputar uang.
Berbagi
Posting Komentar
untuk "Mandiri Unsoed 2020 Uang Pangkal : Update Biaya Kuliah Di Unsoed Universitas Jenderal Soedirman Ta 2019 2020 Daftar Harga Tarif - Biaya kuliah s1 jalur mandiri ub 2021 & uang pangkal."
Posting Komentar untuk "Mandiri Unsoed 2020 Uang Pangkal : Update Biaya Kuliah Di Unsoed Universitas Jenderal Soedirman Ta 2019 2020 Daftar Harga Tarif - Biaya kuliah s1 jalur mandiri ub 2021 & uang pangkal."